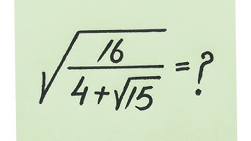
Brazil l can you solve?? l Olympiad Math Radical Problem l Easy & Tricky Solution

Tonton & Download Video Musik Gratis

⬇ DOWNLOAD NOW
Kalau muncul iklan pop-up, tutup lalu klik tombol kembali

Download lagu Brazil l can you solve?? l Olympiad Math Radical Problem l Easy & Tricky Solution secara gratis hanya untuk keperluan promosi. Dukung artis favorit kamu dengan membeli musik original di iTunes atau platform resmi lainnya.