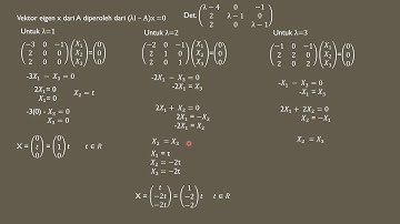
Mencari Eigen Value dan Eigen Vector dari Matriks (3x3) | Matematika 3

Tonton & Download Video Musik Gratis

⬇ DOWNLOAD NOW
Kalau muncul iklan pop-up, tutup lalu klik tombol kembali

Download lagu Mencari Eigen Value dan Eigen Vector dari Matriks (3x3) | Matematika 3 secara gratis hanya untuk keperluan promosi. Dukung artis favorit kamu dengan membeli musik original di iTunes atau platform resmi lainnya.