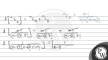
If the coefficients of 5^th , 6^th, and 7^th terms in the expansion of (1+x)^n are in A.P., then ...

Tonton & Download Video Musik Gratis

⬇ DOWNLOAD NOW
Kalau muncul iklan pop-up, tutup lalu klik tombol kembali

Download lagu If the coefficients of 5^th , 6^th, and 7^th terms in the expansion of (1+x)^n are in A.P., then ... secara gratis hanya untuk keperluan promosi. Dukung artis favorit kamu dengan membeli musik original di iTunes atau platform resmi lainnya.