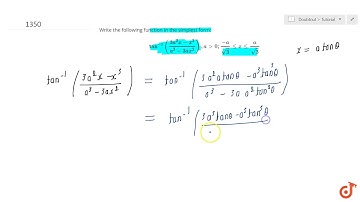
Write in simplest form:γ€–π­πšπ§γ€—^(βˆ’πŸ)⁑〖(πŸ‘π’‚^𝟐 π’™βˆ’π’™^πŸ‘)/(𝒂^πŸ‘βˆ’πŸ‘π’‚π’™^𝟐 )γ€—, 𝒂 𝟎;βˆ’π’‚/βˆšπŸ‘ 𝒙 𝒂/βˆšπŸ‘

Tonton & Download Video Musik Gratis

⬇ DOWNLOAD NOW
Kalau muncul iklan pop-up, tutup lalu klik tombol kembali

Download lagu Write in simplest form:γ€–π­πšπ§γ€—^(βˆ’πŸ)⁑〖(πŸ‘π’‚^𝟐 π’™βˆ’π’™^πŸ‘)/(𝒂^πŸ‘βˆ’πŸ‘π’‚π’™^𝟐 )γ€—, 𝒂 𝟎;βˆ’π’‚/βˆšπŸ‘ 𝒙 𝒂/βˆšπŸ‘ secara gratis hanya untuk keperluan promosi. Dukung artis favorit kamu dengan membeli musik original di iTunes atau platform resmi lainnya.