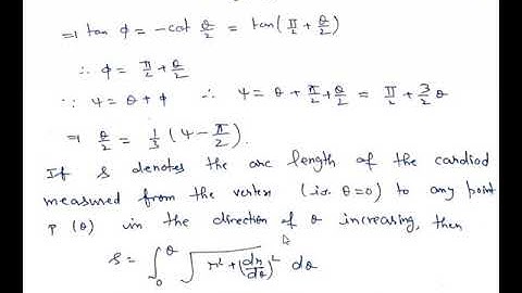
| Rectification | Obtain Intrinsic Equation from Cartesian Equation | Differential Calculus | L-2 |

Tonton & Download Video Musik Gratis

⬇ DOWNLOAD NOW
Kalau muncul iklan pop-up, tutup lalu klik tombol kembali

Download lagu | Rectification | Obtain Intrinsic Equation from Cartesian Equation | Differential Calculus | L-2 | secara gratis hanya untuk keperluan promosi. Dukung artis favorit kamu dengan membeli musik original di iTunes atau platform resmi lainnya.