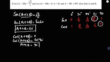
If sin(A+2B) = root3/2 and cos(A+4B) = 0, A is greater than B, and A+4B greater than or equal to 90°

Tonton & Download Video Musik Gratis

⬇ DOWNLOAD NOW
Kalau muncul iklan pop-up, tutup lalu klik tombol kembali

Download lagu If sin(A+2B) = root3/2 and cos(A+4B) = 0, A is greater than B, and A+4B greater than or equal to 90° secara gratis hanya untuk keperluan promosi. Dukung artis favorit kamu dengan membeli musik original di iTunes atau platform resmi lainnya.