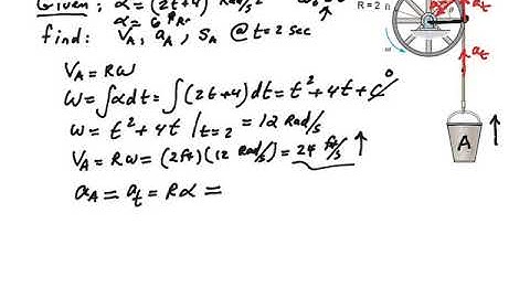
Video 16 Planar Kinetics of a Rigid Body EoM Rotation about a Fixed Axis Example 3

Tonton & Download Video Musik Gratis

⬇ DOWNLOAD NOW
Kalau muncul iklan pop-up, tutup lalu klik tombol kembali

Download lagu Video 16 Planar Kinetics of a Rigid Body EoM Rotation about a Fixed Axis Example 3 secara gratis hanya untuk keperluan promosi. Dukung artis favorit kamu dengan membeli musik original di iTunes atau platform resmi lainnya.