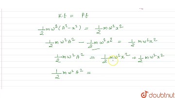
A particle executes \( \mathrm{SHM} \) of amplitude \( A \) and tim...

Tonton & Download Video Musik Gratis

⬇ DOWNLOAD NOW
Kalau muncul iklan pop-up, tutup lalu klik tombol kembali

Download lagu A particle executes \( \mathrm{SHM} \) of amplitude \( A \) and tim... secara gratis hanya untuk keperluan promosi. Dukung artis favorit kamu dengan membeli musik original di iTunes atau platform resmi lainnya.