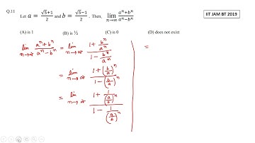
Sets | Problem 5 | IIT JAM BT 2019 solved | Qs. no. 4

Tonton & Download Video Musik Gratis

⬇ DOWNLOAD NOW
Kalau muncul iklan pop-up, tutup lalu klik tombol kembali

Download lagu Sets | Problem 5 | IIT JAM BT 2019 solved | Qs. no. 4 secara gratis hanya untuk keperluan promosi. Dukung artis favorit kamu dengan membeli musik original di iTunes atau platform resmi lainnya.