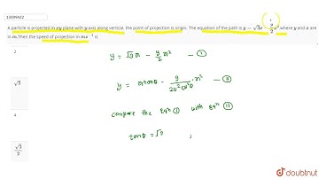
, , A particle is projected in x-y plane with y-axis along vertical, the point of projection bein...

Tonton & Download Video Musik Gratis

⬇ DOWNLOAD NOW
Kalau muncul iklan pop-up, tutup lalu klik tombol kembali

Download lagu , , A particle is projected in x-y plane with y-axis along vertical, the point of projection bein... secara gratis hanya untuk keperluan promosi. Dukung artis favorit kamu dengan membeli musik original di iTunes atau platform resmi lainnya.