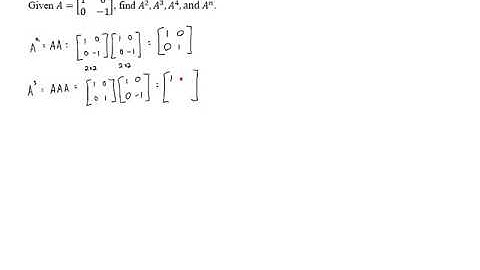
Example - 1.9|TN-12th B.Maths |Chapter -1| Application of matrices and determinants |

Tonton & Download Video Musik Gratis

⬇ DOWNLOAD NOW
Kalau muncul iklan pop-up, tutup lalu klik tombol kembali

Download lagu Example - 1.9|TN-12th B.Maths |Chapter -1| Application of matrices and determinants | secara gratis hanya untuk keperluan promosi. Dukung artis favorit kamu dengan membeli musik original di iTunes atau platform resmi lainnya.