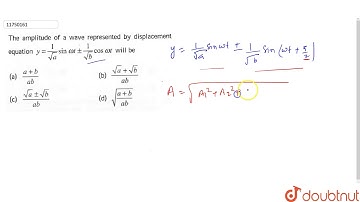
The amplitude of a wave represented by displacement equation `y=(1)/(sqrta)sinomega+-(1)/(sqrtb)...

Tonton & Download Video Musik Gratis

⬇ DOWNLOAD NOW
Kalau muncul iklan pop-up, tutup lalu klik tombol kembali

Download lagu The amplitude of a wave represented by displacement equation `y=(1)/(sqrta)sinomega+-(1)/(sqrtb)... secara gratis hanya untuk keperluan promosi. Dukung artis favorit kamu dengan membeli musik original di iTunes atau platform resmi lainnya.