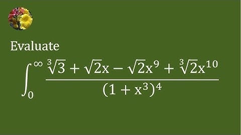
(Improper Integrals) Solving using Beta /Gamma function and Euler's reflection formula

Tonton & Download Video Musik Gratis

⬇ DOWNLOAD NOW
Kalau muncul iklan pop-up, tutup lalu klik tombol kembali

Download lagu (Improper Integrals) Solving using Beta /Gamma function and Euler's reflection formula secara gratis hanya untuk keperluan promosi. Dukung artis favorit kamu dengan membeli musik original di iTunes atau platform resmi lainnya.