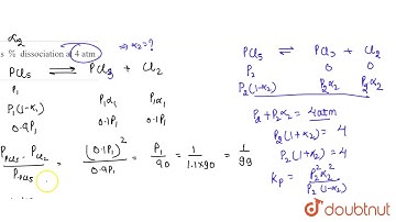
At some temperature and under a pressure of 4 atm, PCl_(5) is 10% dissociated. Calculated the pr...

Tonton & Download Video Musik Gratis

⬇ DOWNLOAD NOW
Kalau muncul iklan pop-up, tutup lalu klik tombol kembali

Download lagu At some temperature and under a pressure of 4 atm, PCl_(5) is 10% dissociated. Calculated the pr... secara gratis hanya untuk keperluan promosi. Dukung artis favorit kamu dengan membeli musik original di iTunes atau platform resmi lainnya.