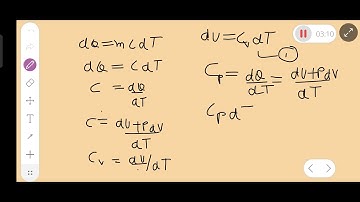
Class XI : Two Specific heat of a gas (Cᵥ & Cₚ) and it's relationship

Tonton & Download Video Musik Gratis

⬇ DOWNLOAD NOW
Kalau muncul iklan pop-up, tutup lalu klik tombol kembali

Download lagu Class XI : Two Specific heat of a gas (Cᵥ & Cₚ) and it's relationship secara gratis hanya untuk keperluan promosi. Dukung artis favorit kamu dengan membeli musik original di iTunes atau platform resmi lainnya.