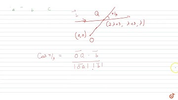
Find the equations of the two lines through the origin which intersect the line (x-3)/2=(y-3)/1=...

Tonton & Download Video Musik Gratis

⬇ DOWNLOAD NOW
Kalau muncul iklan pop-up, tutup lalu klik tombol kembali

Download lagu Find the equations of the two lines through the origin which intersect the line (x-3)/2=(y-3)/1=... secara gratis hanya untuk keperluan promosi. Dukung artis favorit kamu dengan membeli musik original di iTunes atau platform resmi lainnya.