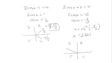
How to Solve Trigonometric Equations 6cos^2x+cosx-1=0, Solving Trig Equations

Tonton & Download Video Musik Gratis

⬇ DOWNLOAD NOW
Kalau muncul iklan pop-up, tutup lalu klik tombol kembali

Download lagu How to Solve Trigonometric Equations 6cos^2x+cosx-1=0, Solving Trig Equations secara gratis hanya untuk keperluan promosi. Dukung artis favorit kamu dengan membeli musik original di iTunes atau platform resmi lainnya.