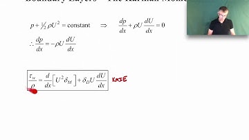
Lecture 166 #Drag Force on a Plate due to Boundary Layer or #Von Korman Momentum Integral Equation

Tonton & Download Video Musik Gratis

⬇ DOWNLOAD NOW
Kalau muncul iklan pop-up, tutup lalu klik tombol kembali

Download lagu Lecture 166 #Drag Force on a Plate due to Boundary Layer or #Von Korman Momentum Integral Equation secara gratis hanya untuk keperluan promosi. Dukung artis favorit kamu dengan membeli musik original di iTunes atau platform resmi lainnya.