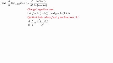
FM A21 Hyperbolic functions video 2 Inverse hyperbolic functions and their logarithmic form

Tonton & Download Video Musik Gratis

⬇ DOWNLOAD NOW
Kalau muncul iklan pop-up, tutup lalu klik tombol kembali

Download lagu FM A21 Hyperbolic functions video 2 Inverse hyperbolic functions and their logarithmic form secara gratis hanya untuk keperluan promosi. Dukung artis favorit kamu dengan membeli musik original di iTunes atau platform resmi lainnya.