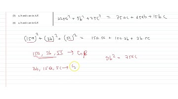
For any three positive real numbers a, b and c, 9(25a^2+b^2 )+25(c^2-3ac)=15b(3a+c). Then,

Tonton & Download Video Musik Gratis

⬇ DOWNLOAD NOW
Kalau muncul iklan pop-up, tutup lalu klik tombol kembali

Download lagu For any three positive real numbers a, b and c, 9(25a^2+b^2 )+25(c^2-3ac)=15b(3a+c). Then, secara gratis hanya untuk keperluan promosi. Dukung artis favorit kamu dengan membeli musik original di iTunes atau platform resmi lainnya.