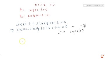
The equation of the plane passing through the line of intersection of the planes x+y+z=1,2x+3y+4...

Tonton & Download Video Musik Gratis

⬇ DOWNLOAD NOW
Kalau muncul iklan pop-up, tutup lalu klik tombol kembali

Download lagu The equation of the plane passing through the line of intersection of the planes x+y+z=1,2x+3y+4... secara gratis hanya untuk keperluan promosi. Dukung artis favorit kamu dengan membeli musik original di iTunes atau platform resmi lainnya.