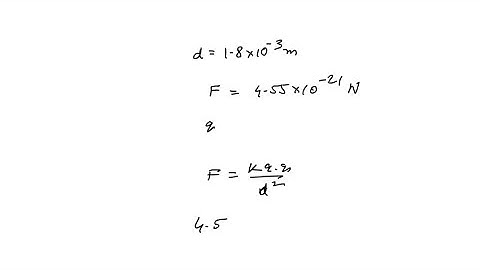
Two spherical objects are separated by a distance that is 1.93 x 10-3 m. The objects are initially …

Tonton & Download Video Musik Gratis

⬇ DOWNLOAD NOW
Kalau muncul iklan pop-up, tutup lalu klik tombol kembali

Download lagu Two spherical objects are separated by a distance that is 1.93 x 10-3 m. The objects are initially … secara gratis hanya untuk keperluan promosi. Dukung artis favorit kamu dengan membeli musik original di iTunes atau platform resmi lainnya.