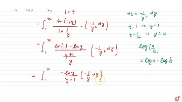
The value of function f(x) = 1+x + ∫_1^x▒(〖ln〗^2 t+2lnt)dt where f^' (x) vanishes is:

Tonton & Download Video Musik Gratis

⬇ DOWNLOAD NOW
Kalau muncul iklan pop-up, tutup lalu klik tombol kembali

Download lagu The value of function f(x) = 1+x + ∫_1^x▒(〖ln〗^2 t+2lnt)dt where f^' (x) vanishes is: secara gratis hanya untuk keperluan promosi. Dukung artis favorit kamu dengan membeli musik original di iTunes atau platform resmi lainnya.