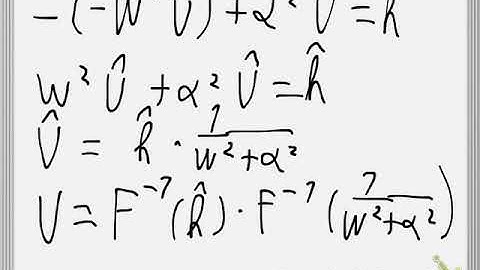
Using Fourier transforms, find the solutions of differential eq.(b) y′′ + 3y′ +2y = δ(t−3)

Tonton & Download Video Musik Gratis

⬇ DOWNLOAD NOW
Kalau muncul iklan pop-up, tutup lalu klik tombol kembali

Download lagu Using Fourier transforms, find the solutions of differential eq.(b) y′′ + 3y′ +2y = δ(t−3) secara gratis hanya untuk keperluan promosi. Dukung artis favorit kamu dengan membeli musik original di iTunes atau platform resmi lainnya.