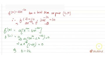
If the function f(x)=ax e^(-bx) has a local maximum at the point (2,10), then | 12 | MONOTONOCIT...

Tonton & Download Video Musik Gratis

⬇ DOWNLOAD NOW
Kalau muncul iklan pop-up, tutup lalu klik tombol kembali

Download lagu If the function f(x)=ax e^(-bx) has a local maximum at the point (2,10), then | 12 | MONOTONOCIT... secara gratis hanya untuk keperluan promosi. Dukung artis favorit kamu dengan membeli musik original di iTunes atau platform resmi lainnya.