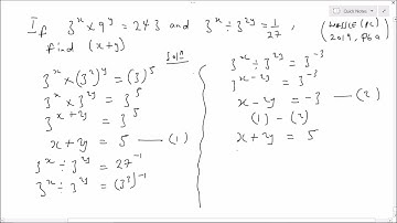
WASSCE Nov 2019 Core Mathematics: Solved Theory Q6

Tonton & Download Video Musik Gratis

⬇ DOWNLOAD NOW
Kalau muncul iklan pop-up, tutup lalu klik tombol kembali

Download lagu WASSCE Nov 2019 Core Mathematics: Solved Theory Q6 secara gratis hanya untuk keperluan promosi. Dukung artis favorit kamu dengan membeli musik original di iTunes atau platform resmi lainnya.