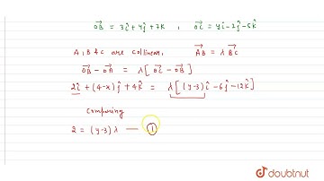
If three points A,B and C have position vectors (1,x,3),(3,4,7) and (y,-2,-5), respectively and

Tonton & Download Video Musik Gratis

⬇ DOWNLOAD NOW
Kalau muncul iklan pop-up, tutup lalu klik tombol kembali

Download lagu If three points A,B and C have position vectors (1,x,3),(3,4,7) and (y,-2,-5), respectively and secara gratis hanya untuk keperluan promosi. Dukung artis favorit kamu dengan membeli musik original di iTunes atau platform resmi lainnya.