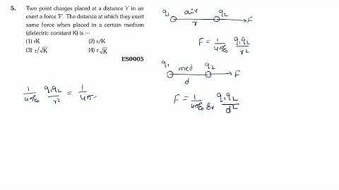
Two-point charges q1 and q2 separated by distance r experience force F in air. What should

Tonton & Download Video Musik Gratis

⬇ DOWNLOAD NOW
Kalau muncul iklan pop-up, tutup lalu klik tombol kembali

Download lagu Two-point charges q1 and q2 separated by distance r experience force F in air. What should secara gratis hanya untuk keperluan promosi. Dukung artis favorit kamu dengan membeli musik original di iTunes atau platform resmi lainnya.