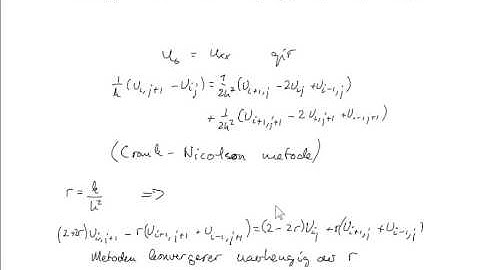
MTH646 Lecture No.20 ||Short Lecture || Crank Nicolson Method

Tonton & Download Video Musik Gratis

⬇ DOWNLOAD NOW
Kalau muncul iklan pop-up, tutup lalu klik tombol kembali

Download lagu MTH646 Lecture No.20 ||Short Lecture || Crank Nicolson Method secara gratis hanya untuk keperluan promosi. Dukung artis favorit kamu dengan membeli musik original di iTunes atau platform resmi lainnya.