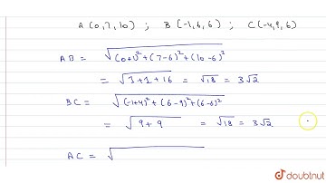
Verify (0, 7, 10), (-1, 6, 6), and (-4, 9, 6) are the vertices of a right angled triangle

Tonton & Download Video Musik Gratis

⬇ DOWNLOAD NOW
Kalau muncul iklan pop-up, tutup lalu klik tombol kembali

Download lagu Verify (0, 7, 10), (-1, 6, 6), and (-4, 9, 6) are the vertices of a right angled triangle secara gratis hanya untuk keperluan promosi. Dukung artis favorit kamu dengan membeli musik original di iTunes atau platform resmi lainnya.