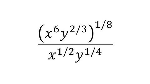
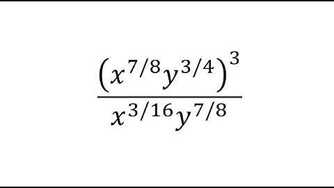
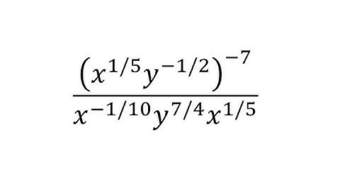
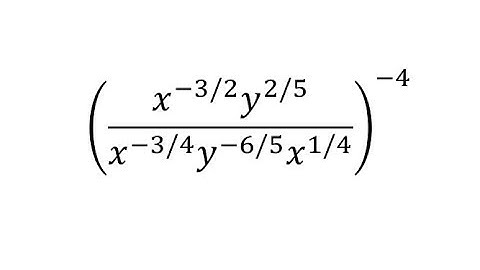
Simplify An Expression with Rational Exponents (Negative) Prod/Quot

Tonton & Download Video Musik Gratis

⬇ DOWNLOAD NOW
Kalau muncul iklan pop-up, tutup lalu klik tombol kembali

Download lagu Simplify An Expression with Rational Exponents (Negative) Prod/Quot secara gratis hanya untuk keperluan promosi. Dukung artis favorit kamu dengan membeli musik original di iTunes atau platform resmi lainnya.