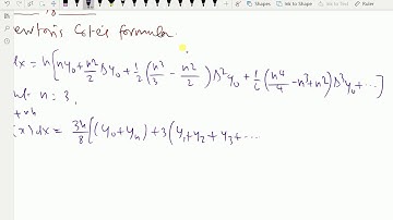
Numerical Analysis// Honours 3rd year// Simpson's three-eight rules//chapter :5// lecture:11.

Tonton & Download Video Musik Gratis

⬇ DOWNLOAD NOW
Kalau muncul iklan pop-up, tutup lalu klik tombol kembali

Download lagu Numerical Analysis// Honours 3rd year// Simpson's three-eight rules//chapter :5// lecture:11. secara gratis hanya untuk keperluan promosi. Dukung artis favorit kamu dengan membeli musik original di iTunes atau platform resmi lainnya.