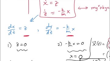
Solving system of ODEs using eigenvectors | Wellesley College Diff. Eqns. w/Applied Linear Algebra

Tonton & Download Video Musik Gratis

⬇ DOWNLOAD NOW
Kalau muncul iklan pop-up, tutup lalu klik tombol kembali

Download lagu Solving system of ODEs using eigenvectors | Wellesley College Diff. Eqns. w/Applied Linear Algebra secara gratis hanya untuk keperluan promosi. Dukung artis favorit kamu dengan membeli musik original di iTunes atau platform resmi lainnya.