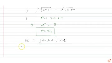
The range of the function \( f(x)=\sqrt{4-x^{2}}+\sqrt{x^{2}-1} \) is (a) \( [\sqrt{3}, \sqrt{7}...

Tonton & Download Video Musik Gratis

⬇ DOWNLOAD NOW
Kalau muncul iklan pop-up, tutup lalu klik tombol kembali

Download lagu The range of the function \( f(x)=\sqrt{4-x^{2}}+\sqrt{x^{2}-1} \) is (a) \( [\sqrt{3}, \sqrt{7}... secara gratis hanya untuk keperluan promosi. Dukung artis favorit kamu dengan membeli musik original di iTunes atau platform resmi lainnya.