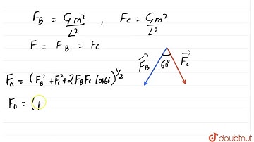
, , Three particles A, B and C each of mass m are lying at the corners of an equilateral triangle...

Tonton & Download Video Musik Gratis

⬇ DOWNLOAD NOW
Kalau muncul iklan pop-up, tutup lalu klik tombol kembali

Download lagu , , Three particles A, B and C each of mass m are lying at the corners of an equilateral triangle... secara gratis hanya untuk keperluan promosi. Dukung artis favorit kamu dengan membeli musik original di iTunes atau platform resmi lainnya.