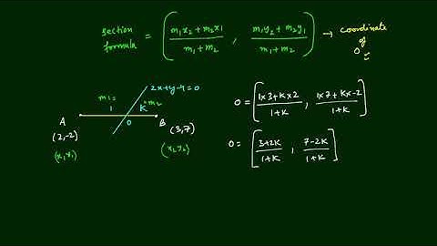
Class 10 Ex 7.4 Q1 (Coordinate Geometry), Determine the ratio in which the line 2x+y-4=0 divides the

Tonton & Download Video Musik Gratis

⬇ DOWNLOAD NOW
Kalau muncul iklan pop-up, tutup lalu klik tombol kembali

Download lagu Class 10 Ex 7.4 Q1 (Coordinate Geometry), Determine the ratio in which the line 2x+y-4=0 divides the secara gratis hanya untuk keperluan promosi. Dukung artis favorit kamu dengan membeli musik original di iTunes atau platform resmi lainnya.