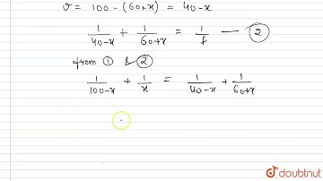
(a) A screen is kept at a distance of 1m from the object. A converging lens between the object a...

Tonton & Download Video Musik Gratis

⬇ DOWNLOAD NOW
Kalau muncul iklan pop-up, tutup lalu klik tombol kembali

Download lagu (a) A screen is kept at a distance of 1m from the object. A converging lens between the object a... secara gratis hanya untuk keperluan promosi. Dukung artis favorit kamu dengan membeli musik original di iTunes atau platform resmi lainnya.