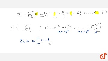
Find the sum of the following series: ltmath gt ltmrow gt ltmn gt0.5 lt/mn gt ltmo gt+ lt/m

Tonton & Download Video Musik Gratis

⬇ DOWNLOAD NOW
Kalau muncul iklan pop-up, tutup lalu klik tombol kembali

Download lagu Find the sum of the following series: ltmath gt ltmrow gt ltmn gt0.5 lt/mn gt ltmo gt+ lt/m secara gratis hanya untuk keperluan promosi. Dukung artis favorit kamu dengan membeli musik original di iTunes atau platform resmi lainnya.