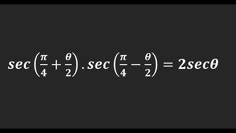
Prove that: tan(Pi/4 + A/2) + tan(Pi/4 - A/2) = 2secA

Tonton & Download Video Musik Gratis

⬇ DOWNLOAD NOW
Kalau muncul iklan pop-up, tutup lalu klik tombol kembali

Download lagu Prove that: tan(Pi/4 + A/2) + tan(Pi/4 - A/2) = 2secA secara gratis hanya untuk keperluan promosi. Dukung artis favorit kamu dengan membeli musik original di iTunes atau platform resmi lainnya.