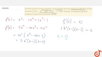
Find the points of local maxima and local minima of f(x) = x ^ 5 - 5x ^ 4 + 5x ^ 3 - 1Also find the

Tonton & Download Video Musik Gratis

⬇ DOWNLOAD NOW
Kalau muncul iklan pop-up, tutup lalu klik tombol kembali

Download lagu Find the points of local maxima and local minima of f(x) = x ^ 5 - 5x ^ 4 + 5x ^ 3 - 1Also find the secara gratis hanya untuk keperluan promosi. Dukung artis favorit kamu dengan membeli musik original di iTunes atau platform resmi lainnya.