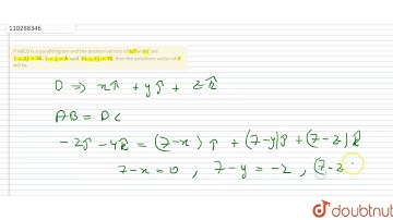
Let ABCD be as parallelogram. If vec a ,\\vec b ,\\vec c\nbe the position vectors of\\ A ,\\ B ...

Tonton & Download Video Musik Gratis

⬇ DOWNLOAD NOW
Kalau muncul iklan pop-up, tutup lalu klik tombol kembali

Download lagu Let ABCD be as parallelogram. If vec a ,\\vec b ,\\vec c\nbe the position vectors of\\ A ,\\ B ... secara gratis hanya untuk keperluan promosi. Dukung artis favorit kamu dengan membeli musik original di iTunes atau platform resmi lainnya.