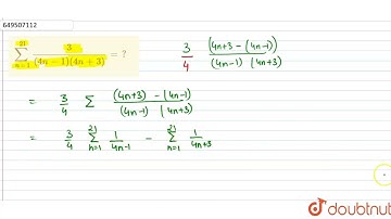
Q) The sum ∑_(𝑛=1)^21 3/((4𝑛−1)(4𝑛+3)) is equal to #jeemains #class12 #jee #maths #class12th

Tonton & Download Video Musik Gratis

⬇ DOWNLOAD NOW
Kalau muncul iklan pop-up, tutup lalu klik tombol kembali

Download lagu Q) The sum ∑_(𝑛=1)^21 3/((4𝑛−1)(4𝑛+3)) is equal to #jeemains #class12 #jee #maths #class12th secara gratis hanya untuk keperluan promosi. Dukung artis favorit kamu dengan membeli musik original di iTunes atau platform resmi lainnya.