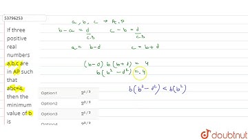
If three positive real numbers a, b, c are in A.P. and abc = 4 then the minimum possible value of b

Tonton & Download Video Musik Gratis

⬇ DOWNLOAD NOW
Kalau muncul iklan pop-up, tutup lalu klik tombol kembali

Download lagu If three positive real numbers a, b, c are in A.P. and abc = 4 then the minimum possible value of b secara gratis hanya untuk keperluan promosi. Dukung artis favorit kamu dengan membeli musik original di iTunes atau platform resmi lainnya.