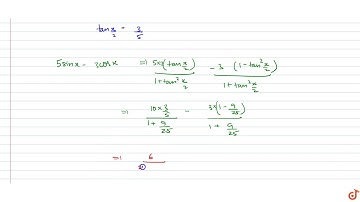
If 3Sinx + 5Cosx = 5 then find the value of 5Sinx - 3Cosx #mathsvideotech #videotech

Tonton & Download Video Musik Gratis

⬇ DOWNLOAD NOW
Kalau muncul iklan pop-up, tutup lalu klik tombol kembali

Download lagu If 3Sinx + 5Cosx = 5 then find the value of 5Sinx - 3Cosx #mathsvideotech #videotech secara gratis hanya untuk keperluan promosi. Dukung artis favorit kamu dengan membeli musik original di iTunes atau platform resmi lainnya.