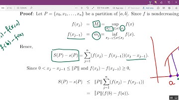
if f is Monotonic on [a,b] then f is Riemann integrable on [a,b]

Tonton & Download Video Musik Gratis

⬇ DOWNLOAD NOW
Kalau muncul iklan pop-up, tutup lalu klik tombol kembali

Download lagu if f is Monotonic on [a,b] then f is Riemann integrable on [a,b] secara gratis hanya untuk keperluan promosi. Dukung artis favorit kamu dengan membeli musik original di iTunes atau platform resmi lainnya.