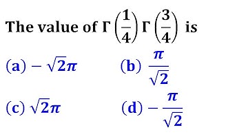
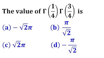
the value of Γ(1/4)Γ(3/4) eulers reflection formula gamma 1/4 gamma 3/4 gamma(n)*gamma(1-n) proof

Tonton & Download Video Musik Gratis

⬇ DOWNLOAD NOW
Kalau muncul iklan pop-up, tutup lalu klik tombol kembali

Download lagu the value of Γ(1/4)Γ(3/4) eulers reflection formula gamma 1/4 gamma 3/4 gamma(n)*gamma(1-n) proof secara gratis hanya untuk keperluan promosi. Dukung artis favorit kamu dengan membeli musik original di iTunes atau platform resmi lainnya.