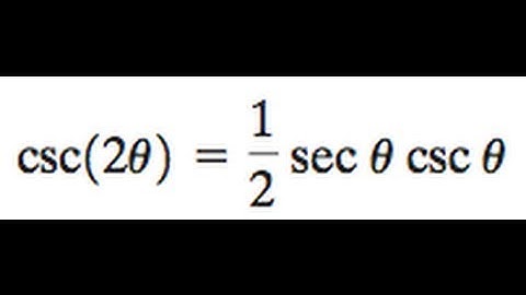
Verify Trig Identity csc(2x) = 1/2 (sec x csc x). Double Half Angle Formula

Tonton & Download Video Musik Gratis

⬇ DOWNLOAD NOW
Kalau muncul iklan pop-up, tutup lalu klik tombol kembali

Download lagu Verify Trig Identity csc(2x) = 1/2 (sec x csc x). Double Half Angle Formula secara gratis hanya untuk keperluan promosi. Dukung artis favorit kamu dengan membeli musik original di iTunes atau platform resmi lainnya.