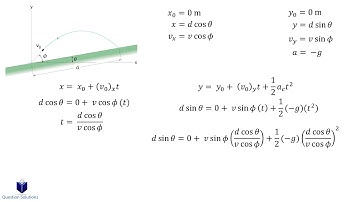
A projectile is thrown upward with a velocity v0 at an angle α to the horizontal. The change in velo

Tonton & Download Video Musik Gratis

⬇ DOWNLOAD NOW
Kalau muncul iklan pop-up, tutup lalu klik tombol kembali

Download lagu A projectile is thrown upward with a velocity v0 at an angle α to the horizontal. The change in velo secara gratis hanya untuk keperluan promosi. Dukung artis favorit kamu dengan membeli musik original di iTunes atau platform resmi lainnya.