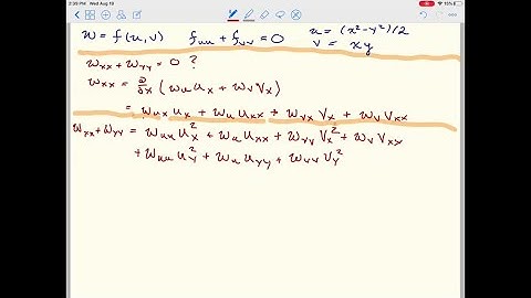
True or False? In Exercises 73-76, determine whether the statement is true or false. If it is false…

Tonton & Download Video Musik Gratis

⬇ DOWNLOAD NOW
Kalau muncul iklan pop-up, tutup lalu klik tombol kembali

Download lagu True or False? In Exercises 73-76, determine whether the statement is true or false. If it is false… secara gratis hanya untuk keperluan promosi. Dukung artis favorit kamu dengan membeli musik original di iTunes atau platform resmi lainnya.