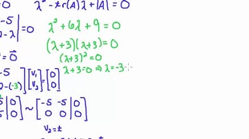
2.2 EMT451T Matrix Analysis Finding eigenvectors for repeated eigenvalues

Tonton & Download Video Musik Gratis

⬇ DOWNLOAD NOW
Kalau muncul iklan pop-up, tutup lalu klik tombol kembali

Download lagu 2.2 EMT451T Matrix Analysis Finding eigenvectors for repeated eigenvalues secara gratis hanya untuk keperluan promosi. Dukung artis favorit kamu dengan membeli musik original di iTunes atau platform resmi lainnya.